在日常工作生活中,不管是公司设计制作产品还是家里日常物品的维修,使用螺栓的时候都是凭着生活经验去感觉和选择。除了一些实验和大型工程,貌似也很少有人去计算衡量两个物体之间的连接需要多少个螺栓,多大的螺纹、紧固这些螺栓需要用多大的扭力。当然并不是说不计算就是错的,有时候靠谱的经验会更加高效,追根溯源计算公式也只是科学家经过反复试验把前类的经验配方化罢了。从这个角度来讲理论计算和经验是相辅相成的,理论计算是正确经验的书面体现,并使经验能够得以传承。

接下来简要说明如何解决螺纹联接的三个问题:螺纹连接的预紧力计算;螺栓直径选型计算;螺栓的分布;螺栓的工作情况分为两种:一种螺栓不需要拧紧的状态(吊车的挂钩),一种为拧紧状态。
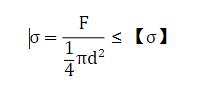
螺栓在非拧紧状态下使用只受工作载荷F的作用,故此螺栓的失效形式为螺栓杆被拉断。根据螺栓的强度公式可以计算出螺栓直径的尺寸。

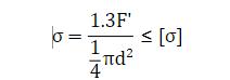
螺栓在拧紧的作用下受两个力的作用,一个是预紧轴向拉力,一个是径向工作载荷(剪切力)。何为预紧力:螺栓、螺帽在拧紧力矩的作用下与被联接件之间产生的沿着螺纹轴心线方向上的力。如何求得这个力的大小呢?

从上图可以看出,横向载荷是两个零件被螺纹连接压紧以后产生摩擦力来传力的,在工程计算中通常设置摩擦力大于或等于横向载荷。

式中K 为可靠性系数,K=1.1~1.3; Z为螺栓数量;i为结合面数量,上图i=1 f为结合面的摩擦系数(数值查表可取);FH为横向载荷;F’为预紧力。因为普通螺栓装配联接需要拧紧螺母,所以还需要添加一个螺纹力聚T1的作用,根据第四强度理论公式计算:

则螺栓的直径:

根据计算出的d1的值进行查表,获取螺纹直径。 根据上面的计算公式可以不难看出,结构联接的螺栓数量都预设为已知条件,也就是说根据设计经验和设计原则,首先假设出螺栓数量,然后根据公式计算验证。 接受市场检验了17年的道青X射线检测设备,已然积累了丰富的经验,并总结成册录入企标为道青设备的品质和升级保驾护航。